, . , , , , __ . , l, u, , ,
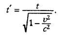
(2) , , t, , - t',
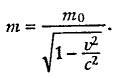
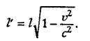
(3) " " " " . , u , , , , , __ - . , , - , - , , , , . . , , , , : , . , , , , , , , , , . , (2) (3). m0 - , m u
(4) , , c. , . , , ( , 99 % ), , , , 99,98 % , 1000 . , .  3 , , , , , , , , , : ? , , , . , , . , - . , , . . , ... , . , , , . - . -, , . - , , - . - ! - . - , ! ? - , . - , - . - , , - . - , , , , . - , - . - , . , , , . , . - , - . - , , . , - , , , . - , ? - - , - . - , , . (, , , ) , , , , , . , - . , , , , , , , , . , , , - , : . , , _ _. - , , ? - , . , , "", . , , , , . , (, ), . , . , , . . - , ? - . , . . , , , , . - , , , ? - . . , , . - . , , , , . -, . , . - , - , , , , : - . - , - . - , . , , , . - , - , - , , . . - , - , , - . . , , ? , - . - , , - , - , , . : . . , , , . , . , , ? , . , , - , , __, , , , , . , , . , , - . , , , . . - , - , - 37, 12, : " , +-cd ( - , d - ) ". - , , - , : - , , . . . . : - ! , . , ! - , , - , , - ? - ? - , - , - , -. , , . , , . , , , , , , - . , - , . , . , , , , , . , - - , , . , , , . - ? - . - , - . . , , , . - , - , - , , . - . ? - , . : , , , , , , . , . - ? - . - , , , . . , , ... , , , , . , : , - , , . - , , , - , , - , . , - . , , . - , , , , , - , . - , . . - , , - , . - , . - -, - . - , ? - , ! , , , . - , , - . - , , , . , , ? - , - , , - , . - , , , - , . - , , , , . . , ( , , - , " ") - , - , , . , - ( , , -), , , . . . , , , , 1; 4; 9; 16 .. " " , , , , , 1; 3,8; 8,5; 15,0 ..
- , - , - ! , -? ? - , ? - , - . - , - . - , , , , , , . ? ? , . , , , , . , , . , , ? - , , - , , . - ? - . , , . . - ? - . - , , . , , , , . , , , . . , , , , , , , . , . , , , . , - . - , , - . - , , . - ! - . - . , , , . , , , . - ? - . , - . , . , , . , . , .
- , , , , - , ? - . - ! - . - , . , , . , , , , , . . - , ? - , - , - . , , . . , , . . , , , , , .. . , , , , . . , : , , , , , . : , , ? - , - , - ! . , , , : - ! ! , , . , . - ? - . , , , , , . , . - , ! - . - , . , . , , , . - -, , - . - , . , . - , - , . , . , . , , , . , . - , , - . - ? . , . - , - , . - ?  4 , ! . , () , , . ""? , ? , , , , - : " ", , , , , . , , , . , , , , , , . , , , . , , - , . "" ( ) , . , , , (.. ), . , , , . , , , , , . , _ , _. . , , . , . , , , , , . , , . , _ , _, , , , , .
, , . , , - , , , . , , , { " " , - . , .}, 2 . , 5 , , . , . - , , , (, , ), , , . , , . , . , _ , _. , , , , , . , , , , . , , , . , , , "" , , . , , , . , , . , , , , , . , , "" : _ _ _ _ . , , . _ _, ( ), . . , (3 4) , . 3 , . , 4 , , . , 4, , 3, , , . . . , , , , , . (4 5) , 5 - , , , . 5 , . , , . , , . " ", ? " ", , , - , . , , , , , . , . . " "? , , ? , , - , . , , , "" , , , . , , , - , . , . , . ? , , , , , . , , ( ) - , , . . , , , . , . , , : "" - , , , . ,