, ( ) , - , . _ , . , , , , , _.
, , , , . , , , . , , . : , , , - . , . . , , . , , , ? , , , , ? , , , . , , , , . , , , . , . , : . . , , r , ,
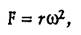
(1) - . , ,
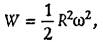
(2) R - . F , W - . , , , , u,
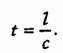
(3) u , . r = R*, " "
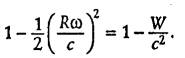
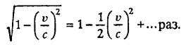
(4) (4) , . , - ( 300 ), , , , 0,99999999999997 . , , 0,9999995, . , ! . , . , (4), , . " " , , , . , , , , - . , (.51). l - , , ,
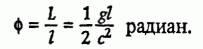
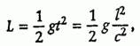
(5) , g, L,
(6) . , , ,
(7) , l, , (7) g . , l 1000 . g 981 /2, = 3 * 10^10 /
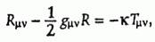
(8) , . g = 27000 /2, , , . , , , 1,75". . , . . , , , , , . , , . , , _ , _. , , . , . , , , , , g , W. , , R.
(9) T , , . (9). , , , , , , _ _. . _, _, - _ , _, . (9) , . , , , . , , . . , "" . , , , , , . , , , , - , , .  5 " " {, , - -. (. )} , , . . , . , , , , , . , , . , , , ... : , - . -, . , , , . , - . - . , , , . . . . : , , . , , . , , . , , . - , , , , . , - , , , - . , . , , - , . : , . ! , , . : ! - , - , , .
. - , - , - , . , - , . - . : , , ! : , , . - , - , , , , . - ! - . - , , , . , ! , , . , , , . , , , , , , 10000000000000000000000 , . , . , , . , , , , . , . - , - , - , , , , ? - , - . - , , - , , . , - . , . ( , , , ) , , , . , , , , . , - . , . , . , , , . , , , . - , - , - , . - , - , - . , , , . . , , , , , . , , - - , . , , , , , , , , . , , , , . , - , . , . , , . - , - , - . , , . ! , , , , , , , . - , - , - , , , . , , , . , . - , - , - . , , . . , , . , . - ? - . - , - . - , , , , , , , . , , , . , , , , . , . - , - . - , , , , , ? - , - , - . - , ? . . , , "" . , , . - , - , - , , , , . , . - , , , - , - . , , . , , . - , ? - . - , , - , - , , . , , , , , . , . , - , , , - , . , , . , , . . , , , , , , , . - , - , - , . - , ? - , . - , - . - , , . , . - , , - , - ?
- , , - , - , , ? : . , , , , . , , , . , . , , , , , , . , - - 0,05 %- , , . , 15 %- , . , , , . 0,00000001 % , _ _ . ( ) , 1 % . - ? - . - , , - , - . . - , - . , . , ? , , , , , . - , - , - , , . , . . , , . , , . . - , , , , ? - . - , , - , - , , , - . , , , . - ! - . - , , , ! ! - , - . - . , . . . , , , . , , .
- ? - . , . . , , - . - ! - , . - , ! , .  6 , , . - , - , - , , , , , . , , - , , . , . , : , , . , - , , . , - - , - . ?
, , , , , , . precipitevol issimevolmente, , . , , , , - . , , , . , , , , , . , , . , , , ( " "). : , Aiome prreemorrdialel All-containeeng Atome! Deessolved eento fragments exceedeengfy small Galaxies forrmeeng, Each wizprrimal energy! Ot rradioactif Atome! Ot all-containeeng Atome! O, Univairrsale Aiome - Worrk of Z'Lorrd! Z long evolution Tells of mightyfirreworrks Zat ended een ashes and smouldairreeng weesps. We stand on z'ceendairres Fadeengsuns confironteengus, Attempteeng to rremembairre Z'splendeurofz brigine, Q, Univairrsale Atome - Worrkof Z'Lorrd {*}
(, ! {*} ! , , - ! , ! ! , - ! , . , , , . , - !) {* , , , , , , , . (. .)} , , ( ) , . : Good Abbe, ourrunderrstandink It is same in many ways. Univerrse has been expandink Frrom the crradle of its days. Univerrse has been expandink Frrom the crradle of its days. You have told it gains in motion, Irregrret to disagrree, And we differr in ourr notion As to how it came to be. And we differr in ourr notion As to how it came to be. It was neutrron fluid-neverr Primal Atom, as you told. It is infinite, as everr It was infinite of old. It is infinite, as everr It was infinite of old. On a limitless pavilion In collapse, gas met its fate, Yearrs ago (some thousand million) Having come to densest state. Yearrs ago {some thousand million) Having come to densest state. All the Space was then rresplendent At that crrucialpoint in time. Light to matterr was trranscendent Much as meterr is, to rrhyme. Light to matterr was trranscendent Much as meterr is, to rrhyme. For each ton ofrradiation Then of matterr was an ounce, Till the impulse t 'warrd inflation In thatgrreatprrimeval bounce. Till the impulse t 'warrd inflation In that grreat prrimeval bounce. Light by then was slowly palink, Hundrred million yearrsgo by... Matterr, over lightprrevailink, Is in plentiful supply. Matterr, overlightpirevailink, Is in plentiful supply. Matterr then began condensink (Such are Jeans 'hypotheses). Giant, gaseous clouds dispensink Known asprrotogalaxies. Giant, gaseous clouds dispensink Known as prrotogalaxies. Prrotogalaxies were shatterred, Flying outward thrrough the night Starrs werreforrmedfrom them, andscattemd And the Space was filled with light. Starrs werreforrmedfrrom them, andscattered And the Space was filled with light Galaxies arre everrspinnink, Starrs will burrn to final sparrk. Till ourr univerrse is thinnink And is lifeless, cold and dank. Till ourr univerrse is thinnink And is lifeless, cold and darrk.
( , . . . , . , . , . , . , , . . . , - ( ) . - ( ) . . , . , . , - . - . , ...